Medication Guide

Download Prescribing Information

Highlights

HIGHLIGHTS OF PRESCRIBING INFORMATION

These highlights do not include all the information needed to use HEPARIN SODIUM INJECTION safely and effectively. See full prescribing information for HEPARIN SODIUM INJECTION.

HEPARIN SODIUM INJECTION, USP for intravenous or subcutaneous use
Initial U.S. Approval: 1939

INDICATIONS AND USAGE

Heparin Sodium Injection is an anticoagulant indicated for (1)

Prophylaxis and treatment of venous thrombosis and pulmonary embolism
Prevention of postoperative deep venous thrombosis and pulmonary embolism in patients undergoing major abdominothoracic surgery or who, for other reasons, are at risk of developing thromboembolic disease
Atrial fibrillation with embolization
Treatment of acute and chronic consumptive coagulopathies (disseminated intravascular coagulation)
Prevention of clotting in arterial and cardiac surgery
Prophylaxis and treatment of peripheral arterial embolism
Use as an anticoagulant in blood transfusions, extracorporeal circulation, and dialysis procedures

DOSAGE AND ADMINISTRATION

Recommended Adult Dosages:

Therapeutic Anticoagulant Effect with Full-Dose Heparin (2.3)

Deep Subcutaneous (Intrafat) Injection
Use a different site for each injection

Initial dose

5,000 units by intravenous injection, followed by 10,000 to 20,000 units of a concentrated solution, subcutaneously

Every 8 hours or

8,000 to 10,000 units of a concentrated solution

Every 12 hours

15,000 to 20,000 units of a concentrated solution

Intermittent Intravenous Injection

Initial dose

10,000 units, either undiluted or in 50 to 100 mL of 0.9% Sodium Chloride Injection, USP

Every 4 to 6 hours

5,000 to 10,000 units, either undiluted or in 50 to 100 mL of 0.9% Sodium Chloride Injection, USP

Intravenous Infusion

Initial dose

5,000 units by intravenous injection

Continuous

20,000 to 40,000 units/24 hours in 1,000 mL of 0.9% Sodium Chloride Injection, USP (or in any compatible solution) for infusion

Based on 150 lb (68 kg) patient. Adjust dose based on laboratory monitoring.

DOSAGE FORMS AND STRENGTHS

Injection: Preserved with Benzyl Alcohol, single-dose vials (3)Injection: Preserved with Benzyl Alcohol, multiple-dose vials (3)

1,000 USP units/mL Vial: 1,000 USP units per 1 mL

1,000 USP units/mL Vial: 10,000 USP units per 10 mL

5,000 USP units/mL Vial: 5,000 USP units per 1 mL

1,000 USP units/mL Vial: 30,000 USP units per 30 mL

10,000 USP units/mL Vial: 10,000 USP units per 1 mL

5,000 USP units/mL Vial: 50,000 USP units per 10 mL

CONTRAINDICATIONS

Severe thrombocytopenia (4)
Known hypersensitivity to heparin or pork products (e.g., anaphylactoid reactions) (4)
When suitable blood coagulation tests, e.g., the whole blood clotting time, partial thromboplastin time, etc., cannot be performed at appropriate intervals (4)
An uncontrolled active bleeding state, except when this is due to disseminated intravascular coagulation (4)

WARNINGS AND PRECAUTIONS

Fatal Medication Errors: Confirm choice of correct strength prior to administration (5.1)
Hemorrhage: Fatal cases have occurred. Use caution in conditions with increased risk of hemorrhage (5.2)
HIT and HITT: Monitor for signs and symptoms and discontinue if indicative of HIT and HITT (5.3)
Benzyl Alcohol Toxicity: Do not use benzyl alcohol-preserved drugs in neonates and infants (5.4)
Monitoring: Blood coagulation tests guide therapy for full-dose heparin (5.6)
Monitor platelet count and hematocrit in all patients receiving heparin (5.5, 5.6)
Hyperkalemia: Measure blood potassium in patients at risk of hyperkalemia before starting heparin therapy and periodically in all patients (5.9)

ADVERSE REACTIONS

Most common adverse reactions are hemorrhage, thrombocytopenia, HIT and HITT, injection site irritation, general hypersensitivity reactions, and elevations of aminotransferase levels. (6.2)

To report SUSPECTED ADVERSE REACTIONS, contact Pfizer Inc. at 1-800-438-1985 or FDA at 1-800-FDA-1088 or www.fda.gov/medwatch.

DRUG INTERACTIONS

Drugs that interfere with platelet aggregation: May induce bleeding (7.2)

USE IN SPECIFIC POPULATIONS

Pregnancy: Preservative-free formulation recommended. Limited human data in pregnant women. (8.1)
Lactation: Advise females not to breastfeed. (8.2)
Pediatric Use: Use preservative-free formulation in neonates and infants. (8.4)
Geriatric Use: A higher incidence of bleeding reported in patients, particularly women, over 60 years of age. (8.5)

See 17 for PATIENT COUNSELING INFORMATION.

Revised: 7/2025

Indications and Usage

1 INDICATIONS AND USAGE

Heparin Sodium Injection is indicated for:

Prophylaxis and treatment of venous thrombosis and pulmonary embolism;
Prevention of postoperative deep venous thrombosis and pulmonary embolism in patients undergoing major abdominothoracic surgery or who, for other reasons, are at risk of developing thromboembolic disease;
Atrial fibrillation with embolization;
Treatment of acute and chronic consumptive coagulopathies (disseminated intravascular coagulation);
Prevention of clotting in arterial and cardiac surgery;
Prophylaxis and treatment of peripheral arterial embolism;
Anticoagulant use in blood transfusions, extracorporeal circulation, and dialysis procedures.

Dosage and Administration

2 DOSAGE AND ADMINISTRATION

2.1 Preparation for Administration

Confirm the choice of the correct Heparin Sodium Injection vial to ensure that the vial is not confused with a “catheter lock flush” vial or other vial of incorrect strength [see Warnings and Precautions (5.1)]. Confirm the selection of the correct formulation and strength prior to administration of the drug.

To lessen this risk, the vial includes a red cautionary label that extends above the main label. Read the cautionary statement and confirm that you have selected the correct medication and strength. Then locate the “Tear Here” point on the label, and remove this red cautionary label prior to removing the flip-off cap.

When heparin is added to an infusion solution for continuous intravenous administration, invert the container repeatedly to ensure adequate mixing and prevent pooling of the heparin in the solution.

Inspect parenteral drug products visually for particulate matter and discoloration prior to administration, whenever solution and container permit. Use only if solution is clear and the seal is intact. Do not use if solution is discolored or contains a precipitate.

Administer Heparin Sodium Injection by intermittent intravenous injection, intravenous infusion, or deep subcutaneous (intrafat, i.e., above the iliac crest or abdominal fat layer) injection. Do not administer Heparin Sodium Injection by intramuscular injection because of the risk of hematoma at the injection site [see Adverse Reactions (6)].

2.2 Laboratory Monitoring for Efficacy and Safety

Adjust the dosage of Heparin Sodium Injection according to the patient’s coagulation test results. Dosage is considered adequate when the activated partial thromboplastin time (aPTT) is 1.5 to 2 times normal or when the whole blood clotting time is elevated approximately 2.5 to 3 times the control value. When initiating treatment with Heparin Sodium Injection by continuous intravenous infusion, determine the coagulation status (aPTT, INR, platelet count) at baseline and continue to follow aPTT approximately every 4 hours and then at appropriate intervals thereafter. When the drug is administered intermittently by intravenous injection, perform coagulation tests before each injection during the initiation of treatment and at appropriate intervals thereafter. After deep subcutaneous (intrafat) injections, tests for adequacy of dosage are best performed on samples drawn 4 to 6 hours after the injection.

Periodic platelet counts and hematocrits are recommended during the entire course of heparin therapy, regardless of the route of administration.

2.3 Therapeutic Anticoagulant Effect with Full-Dose Heparin

The dosing recommendations in Table 1 are based on clinical experience. Although dosages must be adjusted for the individual patient according to the results of suitable laboratory tests, the following dosage schedules may be used as guidelines:

Table 1: Recommended Adult Full-Dose Heparin Regimens for Therapeutic Anticoagulant Effect
METHOD OF ADMINISTRATIONFREQUENCYRECOMMENDED DOSE
[based on 150 lb (68 kg) patient]

Deep Subcutaneous (Intrafat) Injection

Initial dose

5,000 units by intravenous injection, followed by 10,000 to 20,000 units of a concentrated solution, subcutaneously

A different site should be used for each injection to prevent the development of massive hematoma.

Every 8 hours or Every 12 hours

8,000 to 10,000 units of a concentrated solution

15,000 to 20,000 units of a concentrated solution

Intermittent Intravenous Injection

Initial dose

10,000 units, either undiluted or in 50 to 100 mL of 0.9% Sodium Chloride Injection, USP

Every 4 to 6 hours

5,000 to 10,000 units, either undiluted or in 50 to 100 mL of 0.9% Sodium Chloride Injection, USP

Intravenous Infusion

Initial dose

5,000 units by intravenous injection

Continuous

20,000 to 40,000 units/24 hours in 1,000 mL of 0.9% Sodium Chloride Injection, USP (or in any compatible solution) for infusion

2.4 Pediatric Use

Do not use benzyl alcohol-preserved drugs in neonates and infants. Use preservative-free Heparin Sodium Injection in neonates and infants [see Warnings and Precautions (5.4)].

There are no adequate and well controlled studies on heparin use in pediatric patients. Pediatric dosing recommendations are based on clinical experience. In general, the following dosage schedule may be used as a guideline in pediatric patients:

Initial Dose

75 to 100 units/kg (Intravenous bolus over 10 minutes)

Maintenance Dose

Infants: 25 to 30 units/kg/hour;
Infants < 2 months have the highest requirements (average 28 units/kg/hour)
Children > 1 year of age: 18 to 20 units/kg/hour;
Older children may require less heparin, similar to weight-adjusted adult dosage

Monitoring

Adjust heparin to maintain aPTT of 60 to 85 seconds, assuming this reflects an anti-Factor Xa level of 0.35 to 0.70.

2.5 Cardiovascular Surgery

Patients undergoing total body perfusion for open-heart surgery should receive an initial dose of not less than 150 units of heparin sodium per kilogram of body weight. Frequently, a dose of 300 units per kilogram is used for procedures estimated to last less than 60 minutes, or 400 units per kilogram for those estimated to last longer than 60 minutes.

2.6 Low-Dose Prophylaxis of Postoperative Thromboembolism

The most widely used dosage has been 5,000 units 2 hours before surgery and 5,000 units every 8 to 12 hours thereafter for 7 days or until the patient is fully ambulatory, whichever is longer. Administer the heparin by deep subcutaneous (intrafat, i.e., above the iliac crest or abdominal fat layer, arm, or thigh) injection with a fine (25- to 26-gauge) needle to minimize tissue trauma.

2.7 Blood Transfusion

Add 450 USP units to 600 USP units of heparin sodium per 100 mL of whole blood to prevent coagulation. Usually, 7,500 USP units of heparin sodium are added to 100 mL of 0.9% Sodium Chloride Injection, USP (or 75,000 USP units per 1,000 mL of 0.9% Sodium Chloride Injection, USP) and mixed; from this sterile solution, 6 mL to 8 mL are added per 100 mL of whole blood.

2.8 Converting to Warfarin

To ensure continuous anticoagulation when converting from Heparin Sodium Injection to warfarin, continue full heparin therapy for several days until the INR (prothrombin time) has reached a stable therapeutic range. Heparin therapy may then be discontinued without tapering [see Drug Interactions (7.1)].

2.9 Converting to Oral Anticoagulants other than Warfarin

For patients currently receiving intravenous heparin, stop intravenous infusion of heparin sodium immediately after administering the first dose of oral anticoagulant; or for intermittent intravenous administration of heparin sodium, start oral anticoagulant 0 to 2 hours before the time that the next dose of heparin was to have been administered.

2.10 Extracorporeal Dialysis

Follow equipment manufacturers’ operating directions carefully. A dose of 25 units/kg to 30 units/kg followed by an infusion rate of 1,500 units/hour to 2,000 units/hour is suggested based on pharmacodynamic data if specific manufacturers’ recommendations are not available.

Dosage Forms and Strengths

3 DOSAGE FORMS AND STRENGTHS

Heparin Sodium Injection is available as:

Injection: 1,000 USP units/mL preserved with benzyl alcohol clear solution in 1 mL single-dose and 10 mL, 30 mL multiple-dose vials
Injection: 5,000 USP units/mL preserved with benzyl alcohol clear solution in 1 mL single-dose and 10 mL multiple-dose vials
Injection: 10,000 USP units/mL preserved with benzyl alcohol clear solution in 1 mL single-dose vial

Contraindications

4 CONTRAINDICATIONS

The use of Heparin Sodium Injection is contraindicated in patients with the following conditions:

History of heparin-induced thrombocytopenia and heparin-induced thrombocytopenia and thrombosis [see Warnings and Precautions (5.3)];
Known hypersensitivity to heparin or pork products (e.g., anaphylactoid reactions) [see Adverse Reactions (6.2)];
In whom suitable blood coagulation tests, e.g., the whole blood clotting time, partial thromboplastin time, etc., cannot be performed at appropriate intervals (this contraindication refers to full-dose heparin; there is usually no need to monitor coagulation parameters in patients receiving low-dose heparin);
An uncontrolled active bleeding state [see Warnings and Precautions (5.2)], except when this is due to disseminated intravascular coagulation.

Warnings and Precautions

5 WARNINGS AND PRECAUTIONS

5.1 Fatal Medication Errors

Do not use Heparin Sodium Injection as a “catheter lock flush” product. Heparin Sodium Injection is supplied in vials containing various strengths of heparin, including vials that contain a highly concentrated solution of 10,000 units in 1 mL. Fatal hemorrhages have occurred in pediatric patients due to medication errors in which 1 mL Heparin Sodium Injection vials were confused with 1 mL “catheter lock flush” vials. Carefully examine all Heparin Sodium Injection vials to confirm the correct vial choice prior to administration of the drug.

5.2 Hemorrhage

Avoid using heparin in the presence of major bleeding, except when the benefits of heparin therapy outweigh the potential risks.

Hemorrhage can occur at virtually any site in patients receiving heparin. Fatal hemorrhages have occurred. Adrenal hemorrhage (with resultant acute adrenal insufficiency), ovarian hemorrhage, and retroperitoneal hemorrhage have occurred during anticoagulant therapy with heparin [see Adverse Reactions (6.2)]. A higher incidence of bleeding has been reported in patients, particularly women, over 60 years of age [see Clinical Pharmacology (12.3)]. An unexplained fall in hematocrit, fall in blood pressure or any other unexplained symptom should lead to serious consideration of a hemorrhagic event.

Use heparin sodium with caution in disease states in which there is increased risk of hemorrhage, including:

Cardiovascular — Subacute bacterial endocarditis, severe hypertension.
Surgical — During and immediately following (a) spinal tap or spinal anesthesia or (b) major surgery, especially involving the brain, spinal cord, or eye.
Hematologic — Conditions associated with increased bleeding tendencies, such as hemophilia, thrombocytopenia and some vascular purpuras.
Patients with hereditary antithrombin III deficiency receiving concurrent antithrombin III therapy – The anticoagulant effect of heparin is enhanced by concurrent treatment with antithrombin III (human) in patients with hereditary antithrombin III deficiency. To reduce the risk of bleeding, reduce the heparin dose during concomitant treatment with antithrombin III (human).
Gastrointestinal — Ulcerative lesions and continuous tube drainage of the stomach or small intestine.
Other — Menstruation, liver disease with impaired hemostasis.

5.3 Heparin-Induced Thrombocytopenia and Heparin-Induced Thrombocytopenia and Thrombosis

Heparin-induced thrombocytopenia (HIT) is a serious antibody-mediated reaction. HIT occurs in patients treated with heparin and is due to the development of antibodies to a platelet Factor 4-heparin complex that induce in vivo platelet aggregation. HIT may progress to the development of venous and arterial thromboses, a condition referred to as heparin-induced thrombocytopenia with thrombosis (HITT). Thrombotic events may also be the initial presentation for HITT. These serious thromboembolic events include deep vein thrombosis, pulmonary embolism, cerebral vein thrombosis, limb ischemia, stroke, myocardial infarction, mesenteric thrombosis, renal arterial thrombosis, skin necrosis, gangrene of the extremities that may lead to amputation, and possibly death. If the platelet count falls below 100,000/mm3 or if recurrent thrombosis develops, promptly discontinue heparin, evaluate for HIT and HITT, and, if necessary, administer an alternative anticoagulant.

HIT or HITT can occur up to several weeks after the discontinuation of heparin therapy. Patients presenting with thrombocytopenia or thrombosis after discontinuation of heparin sodium should be evaluated for HIT or HITT.

5.4 Risk of Serious Adverse Reactions in Infants Due to Benzyl Alcohol Preservative

Serious and fatal adverse reactions including “gasping syndrome” can occur in neonates and infants treated with benzyl alcohol-preserved drugs, including Heparin Sodium Injection single-dose and multiple-dose vials. The “gasping syndrome” is characterized by central nervous system depression, metabolic acidosis, and gasping respirations.

When prescribing Heparin Sodium Injection single-dose and multiple-dose vials in infants consider the combined daily metabolic load of benzyl alcohol from all sources including Heparin Sodium Injection single-dose and multiple-dose vials (contain 10.5 mg of benzyl alcohol per mL) and other drugs containing benzyl alcohol. The minimum amount of benzyl alcohol at which toxicity may occur is not known [see Use in Specific Populations (8.4)].

5.5 Thrombocytopenia

Thrombocytopenia in patients receiving heparin has been reported at frequencies up to 30%. It can occur 2 to 20 days (average 5 to 9) following the onset of heparin therapy. Obtain platelet counts before and periodically during heparin therapy. Monitor thrombocytopenia of any degree closely. If the count falls below 100,000/mm3 or if recurrent thrombosis develops, promptly discontinue heparin, evaluate for HIT and HITT, and, if necessary, administer an alternative anticoagulant [see Warnings and Precautions (5.3)].

5.6 Coagulation Testing and Monitoring

When using a full dose heparin regimen, adjust the heparin dose based on frequent blood coagulation tests. If the coagulation test is unduly prolonged or if hemorrhage occurs, discontinue heparin promptly [see Overdosage (10)]. Periodic platelet counts and hematocrits are recommended during the entire course of heparin therapy, regardless of the route of administration [see Dosage and Administration (2.2)].

5.7 Heparin Resistance

Resistance to heparin is frequently encountered in fever, thrombosis, thrombophlebitis, infections with thrombosing tendencies, myocardial infarction, cancer, in postsurgical patients, and patients with antithrombin III deficiency. Close monitoring of coagulation tests is recommended in these cases. Adjustment of heparin doses based on anti-Factor Xa levels may be warranted.

5.8 Hypersensitivity

Patients with documented hypersensitivity to heparin should be given the drug only in clearly life-threatening situations.

Because Heparin Sodium Injection is derived from animal tissue, it should be used with caution in patients with a history of allergy.

5.9 Hyperkalemia

Heparin can suppress adrenal secretion of aldosterone leading to hyperkalemia, particularly in patients with diabetes mellitus, chronic renal failure, pre-existing metabolic acidosis, a raised plasma potassium, or taking potassium sparing drugs. The risk of hyperkalemia appears to increase with duration of therapy but is usually reversible upon discontinuation of heparin.

Measure blood potassium in patients at risk of hyperkalemia before starting heparin therapy and periodically in all patients treated for more than 5 days or earlier as deemed fit by the clinician.

Adverse Reactions

6 ADVERSE REACTIONS

The following clinically significant adverse reactions are described elsewhere in the labeling:

Hemorrhage [see Warnings and Precautions (5.2)]
Heparin-Induced Thrombocytopenia and Heparin-Induced Thrombocytopenia and Thrombosis [see Warnings and Precautions (5.3)]
Risk of Serious Adverse Reactions in Infants Due to Benzyl Alcohol Preservative [see Warnings and Precautions (5.4)]
Thrombocytopenia [see Warnings and Precautions (5.5)]
Heparin Resistance [see Warnings and Precautions (5.7)]
Hypersensitivity [see Warnings and Precautions (5.8)]
Hyperkalemia [see Warnings and Precautions (5.9)]

6.2 Postmarketing Experience

The following adverse reactions have been identified during postapproval use of Heparin Sodium Injection. Because these reactions are reported voluntarily from a population of uncertain size, it is not always possible to reliably estimate their frequency or establish a causal relationship to drug exposure.

Hemorrhage is the chief complication that may result from heparin therapy [see Warnings and Precautions (5.2)]. Gastrointestinal or urinary tract bleeding during anticoagulant therapy may indicate the presence of an underlying occult lesion. Bleeding can occur at any site but certain specific hemorrhagic complications may be difficult to detect:
Adrenal hemorrhage, with resultant acute adrenal insufficiency, has occurred with heparin therapy, including fatal cases.
Ovarian (corpus luteum) hemorrhage developed in a number of women of reproductive age receiving short- or long-term heparin therapy.
Retroperitoneal hemorrhage.
HIT and HITT, including delayed onset cases [see Warnings and Precautions (5.3)].
Local irritation - Local irritation, erythema, mild pain, hematoma or ulceration may follow deep subcutaneous (intrafat) injection of heparin sodium. Because these complications are much more common after intramuscular use, the intramuscular route is not recommended.
Histamine-like reactions - Such reactions have been observed at the site of injections. Necrosis of the skin has been reported at the site of subcutaneous injection of heparin, occasionally requiring skin grafting [see Warnings and Precautions (5.3)].
Hypersensitivity - Generalized hypersensitivity reactions have been reported, with chills, fever and urticaria as the most usual manifestations, and asthma, rhinitis, lacrimation, headache, nausea and vomiting, and anaphylactoid reactions, including shock, occurring less frequently. Itching and burning, especially on the plantar side of the feet, may occur [see Warnings and Precautions (5.8)].
Elevations of aminotransferases - Significant elevations of aspartate aminotransferase (AST) and alanine aminotransferase (ALT) levels have occurred in patients who have received heparin.
Miscellaneous - Osteoporosis following long-term administration of high doses of heparin, cutaneous necrosis after systemic administration, suppression of aldosterone synthesis, delayed transient alopecia, priapism, and rebound hyperlipemia on discontinuation of heparin sodium have also been reported.
Metabolism and nutrition disorders - Hyperkalemia.

Drug Interactions

7 DRUG INTERACTIONS

7.1 Oral Anticoagulants

Heparin sodium may prolong the one-stage prothrombin time. Therefore, when heparin sodium is given with dicumarol or warfarin sodium, a period of at least 5 hours after the last intravenous dose or 24 hours after the last subcutaneous dose should elapse before blood is drawn, if a valid prothrombin time is to be obtained.

7.2 Platelet Inhibitors

Drugs such as NSAIDS (including salicylic acid, ibuprofen, indomethacin, and celecoxib), dextran, phenylbutazone, thienopyridines, dipyridamole, hydroxychloroquine, glycoprotein IIb/IIIa antagonists (including abciximab, eptifibatide, and tirofiban), and others that interfere with platelet-aggregation reactions (the main hemostatic defense of heparinized patients) may induce bleeding and should be used with caution in patients receiving heparin sodium. To reduce the risk of bleeding, a reduction in the dose of antiplatelet agent or heparin is recommended.

7.3 Other Interactions

Digitalis, tetracyclines, nicotine or antihistamines may partially counteract the anticoagulant action of heparin sodium. Intravenous nitroglycerin administered to heparinized patients may result in a decrease of the partial thromboplastin time with subsequent rebound effect upon discontinuation of nitroglycerin. Careful monitoring of partial thromboplastin time and adjustment of heparin dosage are recommended during coadministration of heparin and intravenous nitroglycerin.

Antithrombin III (human) – The anticoagulant effect of heparin is enhanced by concurrent treatment with antithrombin III (human) in patients with hereditary antithrombin III deficiency. To reduce the risk of bleeding, a reduced dosage of heparin is recommended during treatment with antithrombin III (human).

Use in Specific Populations

8 USE IN SPECIFIC POPULATIONS

8.1 Pregnancy

Risk Summary

There are no available data on Heparin Sodium Injection use in pregnant women to inform a drug-associated risk of major birth defects and miscarriage. In published reports, heparin exposure during pregnancy did not show evidence of an increased risk of adverse maternal or fetal outcomes in humans. No teratogenicity, but early embryo-fetal death was observed in animal reproduction studies with administration of heparin sodium to pregnant rats and rabbits during organogenesis at doses approximately 10 times the maximum recommended human dose (MRHD) of 45,000 units/ day [see Data]. Consider the benefits and risks of Heparin Sodium Injection for the mother and possible risks to the fetus when prescribing Heparin Sodium Injection to a pregnant woman.

If available, preservative-free Heparin Sodium Injection is recommended when heparin therapy is needed during pregnancy. There are no known adverse outcomes associated with fetal exposure to the preservative benzyl alcohol through maternal drug administration; however, the preservative benzyl alcohol can cause serious adverse events and death when administered intravenously to neonates and infants [see Warnings and Precautions (5.4)].

The background risk of major birth defects and miscarriage for the indicated population is unknown. In the U.S. general population, the estimated background risk of major birth defects and miscarriage in clinically recognized pregnancies is 2–4% and 15–20%, respectively.

Data

Human Data

The maternal and fetal outcomes associated with uses of heparin via various dosing methods and administration routes during pregnancy have been investigated in numerous studies. These studies generally reported normal deliveries with no maternal or fetal bleeding and no other complications.

Animal Data

In a published study conducted in rats and rabbits, pregnant animals received heparin intravenously during organogenesis at a dose of 10,000 units/kg/day, approximately 10 times the maximum human daily dose based on body weight. The number of early resorptions increased in both species. There was no evidence of teratogenic effects.

8.2 Lactation

Risk Summary

If available, preservative-free Heparin Sodium Injection is recommended when heparin therapy is needed during lactation. Benzyl alcohol present in maternal serum is likely to cross into human milk and may be orally absorbed by a nursing infant. There is no information regarding the presence of Heparin Sodium Injection in human milk, the effects on the breastfed infant, or the effects on milk production. Due to its large molecular weight, heparin is not likely to be excreted in human milk, and any heparin in milk would not be orally absorbed by a nursing infant. The developmental and health benefits of breastfeeding should be considered along with the mother's clinical need for Heparin Sodium Injection and any potential adverse effects on the breastfed infant from Heparin Sodium Injection or from the underlying maternal condition [see Use in Specific Populations (8.4)].

8.4 Pediatric Use

There are no adequate and well controlled studies on heparin use in pediatric patients. Pediatric dosing recommendations are based on clinical experience [see Dosage and Administration (2.4)].

Carefully examine all Heparin Sodium Injection vials to confirm choice of the correct strength prior to administration of the drug. Pediatric patients, including neonates, have died as a result of medication errors in which Heparin Sodium Injection vials have been confused with “catheter lock flush” vials [see Warnings and Precautions (5.1)].

Benzyl Alcohol Toxicity

Use preservative-free Heparin Sodium Injection in neonates and infants.

Serious adverse reactions including fatal reactions and the “gasping syndrome” occurred in premature neonates and infants in the neonatal intensive care unit who received drugs containing benzyl alcohol as a preservative. In these cases, benzyl alcohol dosages of 99 to 234 mg/kg/day produced high levels of benzyl alcohol and its metabolites in the blood and urine (blood levels of benzyl alcohol were 0.61 to 1.378 mmol/L). Additional adverse reactions included gradual neurological deterioration, seizures, intracranial hemorrhage, hematologic abnormalities, skin breakdown, hepatic and renal failure, hypotension, bradycardia, and cardiovascular collapse. Preterm, low-birth weight infants may be more likely to develop these reactions because they may be less able to metabolize benzyl alcohol.

8.5 Geriatric Use

There are limited adequate and well-controlled studies in patients 65 years and older, however, a higher incidence of bleeding has been reported in patients, particularly women, over 60 years of age [see Warnings and Precautions (5.2)]. Patients over 60 years of age may require lower doses of heparin.

Lower doses of heparin may be indicated in these patients [see Clinical Pharmacology (12.3)].

Overdosage

10 OVERDOSAGE

Bleeding is the chief sign of heparin overdosage.

Neutralization of Heparin Effect

When clinical circumstances (bleeding) require reversal of the heparin effect, protamine sulfate (1% solution) by slow infusion will neutralize heparin sodium. No more than 50 mg should be administered, very slowly, in any 10-minute period. Each mg of protamine sulfate neutralizes approximately 100 USP heparin units. The amount of protamine required decreases over time as heparin is metabolized. Although the metabolism of heparin is complex, it may, for the purpose of choosing a protamine dose, be assumed to have a half-life of about 1/2 hour after intravenous injection.

Because fatal reactions often resembling anaphylaxis have been reported with protamine, it should be given only when resuscitation techniques and treatment of anaphylactoid shock are readily available.

For additional information consult the labeling of Protamine Sulfate Injection.

Description

11 DESCRIPTION

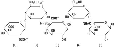
Heparin is a heterogeneous group of straight-chain anionic mucopolysaccharides, called glycosaminoglycans possessing anticoagulant properties. Although others may be present, the main sugars occurring in heparin are: (1) α-L-iduronic acid 2-sulfate, (2) 2-deoxy-2-sulfamino-α-D-glucose 6∙sulfate, (3) β-D-glucuronic acid, (4) 2-acetamido-2-deoxy-α-D-glucose, and (5) α-L-iduronic acid. These sugars are present in decreasing amounts, usually in the order (2)>(1)>(4)>(3)>(5), and are joined by glycosidic linkages, forming polymers of varying sizes. Heparin is strongly acidic because of its content of covalently linked sulfate and carboxylic acid groups. In heparin sodium, the acidic protons of the sulfate units are partially replaced by sodium ions.

Structure of Heparin Sodium (representative subunits):

Chemical Structure

Heparin Sodium Injection, USP is a sterile solution of heparin sodium derived from porcine intestinal mucosa, standardized for anticoagulant activity. It is to be administered by intravenous or deep subcutaneous routes. The potency is determined by a biological assay using a USP reference standard based on units of heparin activity per milligram.

Heparin Sodium Injection, USP is available in the following concentrations/mL:

Heparin SodiumSodium ChlorideBenzyl Alcohol
pH 5.0–7.5; sodium hydroxide and/or hydrochloric acid added, if needed, for pH adjustment.

1,000 USP units

8.6 mg

0.01 mL

5,000 USP units

7 mg

0.01 mL

10,000 USP units

5 mg

0.01 mL

Clinical Pharmacology

12 CLINICAL PHARMACOLOGY

12.1 Mechanism of Action

Heparin interacts with the naturally occurring plasma protein, Antithrombin III, to induce a conformational change, which markedly enhances the serine protease activity of Antithrombin III, thereby inhibiting the activated coagulation factors involved in the clotting sequence, particularly Xa and IIa. Small amounts of heparin inhibit Factor Xa, and larger amounts inhibit thrombin (Factor IIa). Heparin also prevents the formation of a stable fibrin clot by inhibiting the activation of the fibrin stabilizing factor. Heparin does not have fibrinolytic activity; therefore, it will not lyse existing clots.

12.2 Pharmacodynamics

Various times (activated clotting time, activated partial thromboplastin time, prothrombin time, whole blood clotting time) are prolonged by full therapeutic doses of heparin; in most cases, they are not measurably affected by low doses of heparin. The bleeding time is usually unaffected by heparin.

12.3 Pharmacokinetics

Absorption

Heparin is not absorbed through the gastrointestinal tract and therefore administered via parenteral route. Peak plasma concentration and the onset of action are achieved immediately after intravenous administration.

Distribution

Heparin is highly bound to antithrombin, fibrinogens, globulins, serum proteases and lipoproteins. The volume of distribution is 0.07 L/kg.

Elimination

Metabolism

Heparin does not undergo enzymatic degradation.

Excretion

Heparin is mainly cleared from the circulation by liver and reticuloendothelial cells mediated uptake into extravascular space. Heparin undergoes biphasic clearance, a) rapid saturable clearance (zero order process due to binding to proteins, endothelial cells and macrophage) and b) slower first order elimination. The plasma half-life is dose-dependent and it ranges from 0.5 to 2 h.

Specific Populations

Geriatric patients

Patients over 60 years of age, following similar doses of heparin, may have higher plasma levels of heparin and longer activated partial thromboplastin times (aPTTs) compared with patients under 60 years of age [see Use in Specific Populations (8.5)].

Nonclinical Toxicology

13 NONCLINICAL TOXICOLOGY

13.1 Carcinogenesis, Mutagenesis, Impairment of Fertility

No long-term studies in animals have been performed to evaluate carcinogenic potential of heparin. Also, no reproduction studies in animals have been performed concerning mutagenesis or impairment of fertility.

How Supplied/Storage and Handling

16 HOW SUPPLIED/STORAGE AND HANDLING

Heparin Sodium Injection, USP preserved with benzyl alcohol is available in the following strengths and package sizes in single-dose and multiple-dose vials.

Unit of SaleConcentration

NDC 0409-2720-01

1,000 USP units/mL

1 mL single-dose vials

Tray containing 25

NDC 0409-2720-02

10,000 USP units/10 mL

(1,000 USP units/mL)

10 mL multiple-dose vials

Tray containing 25

NDC 0409-2720-03

30,000 USP units/30 mL

(1,000 USP units/mL)

30 mL multiple-dose vials

Tray containing 25

NDC 0409-2723-01

5,000 USP units/mL

1 mL single-dose vials

Tray containing 25

NDC 0409-2723-02

50,000 USP units/10 mL

(5,000 USP units/mL)

10 mL multiple-dose vials

Tray containing 25

NDC 0409-2721-01

10,000 USP units/mL

1 mL single-dose vials

Tray containing 25

Store at 20°C to 25°C (68°F to 77°F) [See USP Controlled Room Temperature].

Patient Counseling Information

17 PATIENT COUNSELING INFORMATION

Hemorrhage

Inform patients that it may take them longer than usual to stop bleeding, that they may bruise and/or bleed more easily when they are treated with heparin, and that they should report any unusual bleeding or bruising to their physician. Hemorrhage can occur at virtually any site in patients receiving heparin. Fatal hemorrhages have occurred [see Warnings and Precautions (5.2)].

Prior to Surgery

Advise patients to inform physicians and dentists that they are receiving heparin before any surgery is scheduled [see Warnings and Precautions (5.2)].

Heparin-Induced Thrombocytopenia

Inform patients of the risk of heparin-induced thrombocytopenia (HIT). HIT may progress to the development of venous and arterial thromboses, a condition known as heparin-induced thrombocytopenia and thrombosis (HITT). HIT and HITT can occur up to several weeks after the discontinuation of heparin therapy [see Warnings and Precautions (5.3)].

Hypersensitivity

Inform patients that generalized hypersensitivity reactions have been reported. Necrosis of the skin has been reported at the site of subcutaneous injection of heparin [see Warnings and Precautions (5.8), Adverse Reactions (6.2)].

Other Medications

Because of the risk of hemorrhage, advise patients to inform their physicians and dentists of all medications they are taking, including non-prescription medications, and before starting any new medication [see Drug Interactions (7.1)].

Other

This product’s labeling may have been updated. For the most recent prescribing information, please visit www.pfizer.com.

For medical information about Heparin Sodium Injection, please visit www.pfizermedinfo.com or call 1-800-438-1985.

hospira logo

Distributed by Hospira, Inc., Lake Forest, IL 60045 USA

LAB-1193-2.0

Prescribing Information

Download Consumer Medicine Information

17 PATIENT COUNSELING INFORMATION

17 PATIENT COUNSELING INFORMATION

17 PATIENT COUNSELING INFORMATION

Hemorrhage

Inform patients that it may take them longer than usual to stop bleeding, that they may bruise and/or bleed more easily when they are treated with heparin, and that they should report any unusual bleeding or bruising to their physician. Hemorrhage can occur at virtually any site in patients receiving heparin. Fatal hemorrhages have occurred [see Warnings and Precautions (5.2)].

Prior to Surgery

Advise patients to inform physicians and dentists that they are receiving heparin before any surgery is scheduled [see Warnings and Precautions (5.2)].

Heparin-Induced Thrombocytopenia

Inform patients of the risk of heparin-induced thrombocytopenia (HIT). HIT may progress to the development of venous and arterial thromboses, a condition known as heparin-induced thrombocytopenia and thrombosis (HITT). HIT and HITT can occur up to several weeks after the discontinuation of heparin therapy [see Warnings and Precautions (5.3)].

Hypersensitivity

Inform patients that generalized hypersensitivity reactions have been reported. Necrosis of the skin has been reported at the site of subcutaneous injection of heparin [see Warnings and Precautions (5.8), Adverse Reactions (6.2)].

Other Medications

Because of the risk of hemorrhage, advise patients to inform their physicians and dentists of all medications they are taking, including non-prescription medications, and before starting any new medication [see Drug Interactions (7.1)].

Additional Resources

Chat online with Pfizer Medical Information regarding your inquiry on a Pfizer medicine or vaccine.

Speak with a Pfizer Medical Information Professional regarding your Pfizer medicine or vaccine inquiry.

Available 9AM-5PM ET Monday to Friday; excluding holidays.

 

To report an adverse event related to a Pfizer product and you are not part of a clinical trial* for this medication, click the link below to submit your information: 
Pfizer Safety Reporting Site

*If you are involved in a clinical trial for either product, adverse events should be reported to your coordinating study site.

If you cannot use the above website to report an adverse event related to a Pfizer medication, please call (800) 438-1985.

You may also contact the U.S. Food and Drug Administration (FDA) directly to report adverse events or product quality concerns either online at www.fda.gov/medwatch or by calling (800) 332-1088.