(dalteparin sodium)

Prescribing Information
Download Prescribing Information

Health Professional Information

Description

11 DESCRIPTION

FRAGMIN Injection (dalteparin sodium injection) is a sterile, low molecular weight heparin. It is available in single-dose, prefilled syringes preassembled with a needle guard device, and multiple-dose vials. With reference to the W.H.O. First International Low Molecular Weight Heparin Reference Standard, each syringe contains either 2,500 units, 5,000 units, 7,500 units, 10,000 units, 12,500 units, 15,000 units or 18,000 anti-Xa international units (units), equivalent to 16 mg, 32 mg, 48 mg, 64 mg, 80 mg, 96 mg or 115.2 mg dalteparin sodium, respectively. Each multiple-dose vial contains 25,000 anti-Xa units per 1 mL (equivalent to 160 mg dalteparin sodium), for a total of 95,000 anti-Xa units per vial. Each single-dose vial contains 2,500 anti-Xa units per 1 mL (equivalent to 16 mg dalteparin sodium) for a total of 10,000 anti-Xa units per vial.

Each prefilled syringe also contains Water for Injection and sodium chloride, when required, to maintain physiologic ionic strength. The prefilled syringes are preservative-free. Each multiple-dose vial also contains Water for Injection and 14 mg of benzyl alcohol per mL as a preservative. The pH of both formulations is 5.0 to 7.5. When necessary, the pH of FRAGMIN is adjusted with hydrochloric acid and/or sodium hydroxide [see Dosage and Administration (2.7) and How Supplied/Storage and Handling (16)].

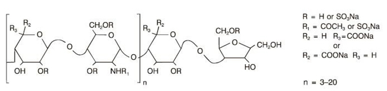
Dalteparin sodium is produced through controlled nitrous acid depolymerization of sodium heparin from porcine intestinal mucosa followed by a chromatographic purification process. It is composed of strongly acidic sulfated polysaccharide chains (oligosaccharide, containing 2,5-anhydro-D-mannitol residues as end groups) with an average molecular weight of 5,000 and about 90% of the material within the range 2,000–9,000. The molecular weight distribution is:

<3000 daltons

3.0–15%

3,000 to 8,000 daltons

65.0–78.0%

>8,000 daltons

14.0–26.0%

Structural Formula

Chemical Structure
Medication Guide
Download Consumer Medicine Information

Health Professional Information

{{section_name_patient}}

{{section_body_html_patient}}

Additional Resources

Chat online with Pfizer Medical Information regarding your inquiry on a Pfizer medicine or vaccine.

Speak with a Pfizer Medical Information Professional regarding your Pfizer medicine or vaccine inquiry.

Available 9AM-5PM ET Monday to Friday; excluding holidays.

 

Submit a medical question for a Pfizer medicine or a vaccine. 

The submission will be reviewed during our standard business hours.

To report an adverse event related to a Pfizer product and you are not part of a clinical trial* for this medication, click the link below to submit your information: 
Pfizer Safety Reporting Site

*If you are involved in a clinical trial for either product, adverse events should be reported to your coordinating study site.

If you cannot use the above website to report an adverse event related to a Pfizer medication, please call (800) 438-1985.

You may also contact the U.S. Food and Drug Administration (FDA) directly to report adverse events or product quality concerns either online at www.fda.gov/medwatch or by calling (800) 332-1088.